|
|
Imprimir Cerrar |
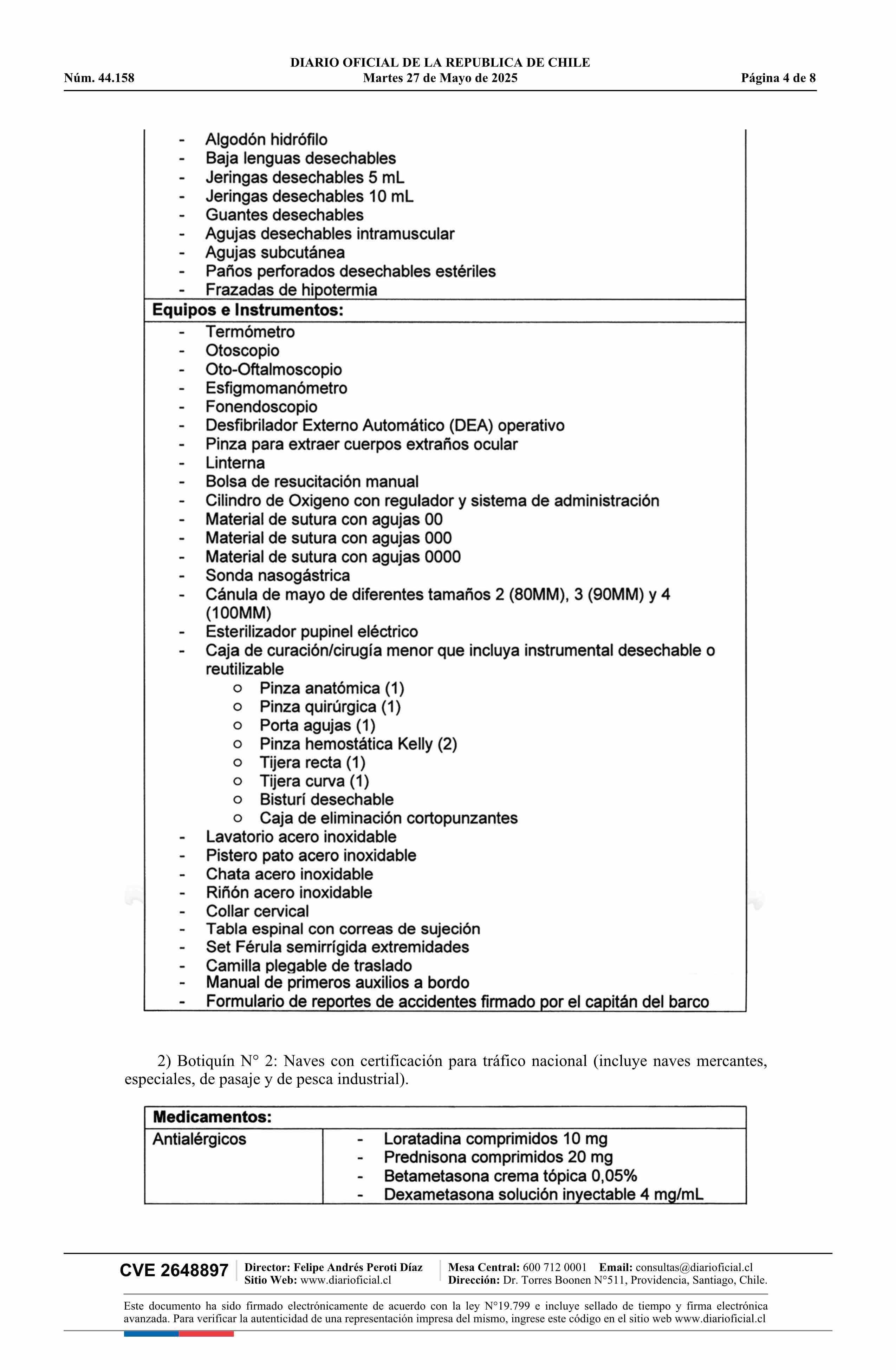
| Título: | Resolución exenta número 552, de 2025.- Determina los botiquines de medicamentos, instrumental y equipo médico que deben llevar las naves y artefactos navales??????? |
|---|
| Fecha: | 27-05-2025 | Sector: | Noticia general | Región: | Región Metropolitana de Santiago |
|---|
| Fuente: | Diario Oficial Edición Electrónica (Diario Oficial de Chile - 1 Normas Generales) | Página(s): | 5-12 |
|---|
| Página: 5 726cm² |
|---|
| Página: 6 726cm² |
|---|
| Página: 7 726cm² |
|---|
| Página: 8 726cm² |
|---|
| Página: 9 726cm² |
|---|
| Página: 10 726cm² |
|---|
| Página: 11 726cm² |
|---|
| Página: 12 726cm² |
|---|
|
Resolución exenta número 552, de 2025.- Determina los botiquines de medicamentos, instrumental y equipo médico que deben llevar las naves y artefactos navales??????? 27-05-2025 Diario Oficial Edición Electrónica |
Copyright © 2022 · LITORALPRESS