Loading...
 Imprimir    Cerrar
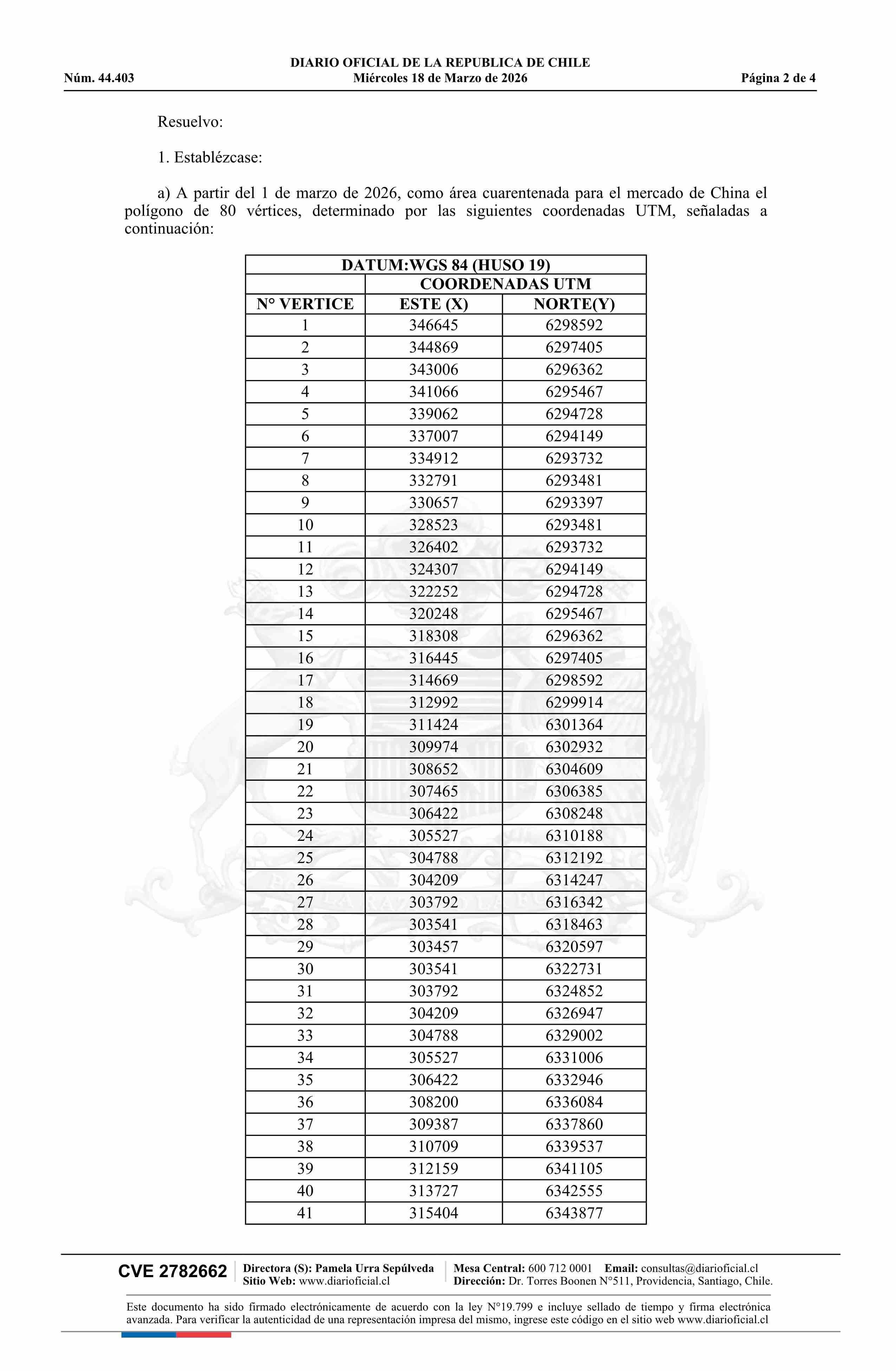
Título: Resolución exenta número 466, de 2026.- Establece nueva área de regulaciones cuarentenarias para el control y erradicación de la Mosca del Mediterráneo (Ceratitis capitata W.) para el mercado de China
Fecha: 18-03-2026 Sector: Noticia general Región: Región Metropolitana de Santiago
Fuente: Diario Oficial Edición Electrónica (Diario Oficial de Chile - 1 Normas Generales) Página(s): 58-61








Resolución exenta número 466, de 2026.- Establece nueva área de regulaciones cuarentenarias para el control y erradicación de la Mosca del Mediterráneo (Ceratitis capitata W.) para el mercado de China
18-03-2026 Diario Oficial Edición Electrónica



Para enviar a más de un destinatario separe las direcciones con comas
Ejemplo: usuario1@empresa.com, usuario2@empresa.com, usuario3@empresa.com
Scroll to Top